
Приятно думать, что хоть какие-то из ныне зарегистрированных патентов Apple когда-нибудь лягут в основу реальных продуктов. Ведь многие устройства и сервисы, которыми вы на сегодняшний день привыкли пользоваться, — они же были запатентованы ещё до собственных релизов. Или, по крайней мере, отправлены на регистрацию. Из сегодняшней тройки документов примеров тому будет два.
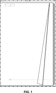
Во-первых, компании Apple отписали анимацию перелистывания виртуальных страниц в iBooks. Вообще, мы сегодня будем говорить о патентах, наперевес с которыми можно смело отправляться в зал суда. Напоминаем ключевой момент: из всего чертежа патентуется только то, что изображено сплошными линиями. Остальное — контекст, который в конечном продукте может быть иным, а сам продукт при этом всё равно будет подпадать под описание патента. Например, на изображениях выше сплошными линиями обрисована только стопка листов и верхний «переворачивающийся» лист. Бегунка внизу и кнопок вверху может не быть. Существует немало читалок, где используется схожая анимация — другое дело, что Apple не замечена в нападках на маленькие фирмы (она их чаще покупает).
Далее по списку — iPad Smart Case. Apple предприняла попытку зарегистрировать патент в апреле этого года, а сам чехол выпустила в июне. Снова пунктирные линии и снова перспективы засудить половину производителей аксессуаров. Если бы в Корее до сих пор выпускали свой Smart Case, мы бы на месте Samsung серьёзно опасались. Особенно фееричен второй чертёж (FIG. 4) — он весь состоит из пунктирных линий. Как там говорят, «Apple запатентовала воздух»? На самом деле изображение просто носит вспомогательный характер.

И вот, не прошло и шести лет (в смысле, прошло), как Бюро одобрило патент на интерфейс утилиты по откату системы — Time Machine! Смешно говорить, но Apple подала заявку более чем за год до релиза OS X 10.5. Leopard был первой ревизией OS X с Time Machine «на борту». Миновала целая эпоха, а патент все регистрировали и регистрировали…

[ai.com: #1, #2]


36 комментариев